Cтратегические угрозы металлургии? (Часть I) 
Сообщения о новых конструкционных материалах, способных составить конкуренцию металлам, появляются в массмедиа все чаще. В России главные источники этого оптимизма – корпорация «Роснано» и многочисленные компании, получившие от нее какую-либо финансовую поддержку. Другой вариант – многочисленные претенденты на таковую.
Поскольку этот «высокотехнологичный и высоконаучный распил» бюджетных средств надо как-то оправдать, вокруг инноваций множатся и продолжают распространяться все новые небылицы. Во-первых, о недорогих «чудо-добавках» (в сталь, бетон, асфальт), способных принципиально улучшить их свойства. Объявилась даже «нанодревесина». След нанотехнологий у нее обнаружился именно там, где и должен быть – на поверхности, но в виде «супернаноклея». Естественно, «улучшающего свойства клееной древесины на порядок». Видимо, в сравнении с известной фанерой, не слишком долговечной в российском уличном климате.
Помимо нанодобавок – микролигатур, нас поразило сообщение об одном из «новых» методов создания наноструктурированного металла – его деформацией (изгибом).
То, что эта «новинка» тысячи лет назад была освоена любым кузнецом, авторов нанометалла совсем не смущает. Как и не смущает наличие деформационной технологии проката металла, более сотни лет являющейся основным методом производства продукции в металлургии. Главное – получить далеко не «наноденьги» на подобные бесконечные изыскания.
В этом потоке пропаганды и дилетантства все легче потерять ориентиры, а главное – упустить настоящие инновации в области конструкционных материалов. Попытку хоть как-то отделить зерна от плевел и предпримет эта статья.
Факты без аргументов
Со стороны высоких технологий
Один из мировых лидеров черной металлургии – южнокорейская корпорация Posco – 8 июня сообщила, что договорилась о покупке 20% акций в компании XG Sciences (США).
Корейцы, умалчивая сумму сделки, сообщили, что хотят миноритарный пакет высокотехнологичной компании как «часть своей стратегии по расширению материального бизнеса».
Изюминка в том, что американская компания названа производителем графена, материала с уникальными свойствами, в частности в 100 раз более прочного, чем сталь.
Агентство Reuters, распространившее эту новость, идет еще дальше – пишет о том, что «графен используется в телевизорах, мониторах, плоских телефонных трубках, а также в автомобильном, технологическом и энергетическом секторах». Реально, конечно, это не так, поскольку даже технология промышленного производства графена находится в состоянии исследований. Тем не менее Posco явно опасается упустить инновационное направление. Компания готова (совместно с Hanhwa Chemical) в 2012 г. строить в Южной Корее завод по промышленному производству графена, даже не предполагая, сколько эта продукция будет стоить.
Напомним, что графен, как минимальный (моноатомный) слой графита, известен сравнительно давно. Однако фактически он был получен (отделен) и начал детально изучаться только в 2005–2006 гг. При этом за «передовые опыты с двумерным материалом – графеном» выпускники МФТИ А.К. Гейм и К.С. Новосёлов, работающие в Великобритании, получили Нобелевскую премию 2010 г. Что, естественно, возбудило общемировой интерес к нему.
Сейчас наибольшим вниманием пользуются электрические, а не прочностные свойства графена. Однако прогресс тем и интересен, что преподносит сюрпризы.
Среди других высокотехнологичных новинок отметим большую группу именно конструкционных материалов, применение которых заметно растет. Конкуренцию металлам и сплавам обещают карбоны (углепластики), сверхпрочные волокна, углеродные нанотрубки, кремнийсодержащие материалы, керметы, сложные композитные материалы.
Со стороны массовых технологий
Нарастает вполне ощутимая конкуренция между типовой сталью и прочими металлами и массовыми полимерными композициями. Прежде всего – на основе сравнительно недорогих полиэтилена, полипропилена, поливинилхлорида (ПВХ), акрилатов и сложных композиций.
Это связано с неуклонным усовершенствованием их свойств и технологий химического производства, чуть опережающим прогресс в металлургии. К примеру, за последние десятилетия стремительно (в несколько раз) выросли прочностные характеристики и стабильность полипропилена, резко расширив сферу его применения.
Один из итогов этого прогресса – громкий российский проект «Ё-мобиля», финансируемый бывшим акционером «Норникеля» и текущим – «Русала» – Михаилом Прохоровым. Олигарх, заработавший на металлургии, ныне продвигает инновационный автомобиль с минимальным применением стали. Корпус «Ё-мобиля» будет изготавливаться из пластикового композита на основе полипропилена, правда, армированного высокопрочным базальтовым волокном.
Проект «зашел весьма далеко», поскольку на прототипе этого авто уже прокатился премьер В. Путин. В начале июня текущего года сообщено о начале строительства соответствующего автозавода под Санкт-Петербургом. Это производство получит инвестиции в ?150 млн и, возможно, будет запущено во второй половине 2012 г. Мощность первой очереди запланирована в объеме 45 тыс. «Ё-мобилей» в год, т.е. соответствующая экономия этого автопроизводства только по стальному листовому прокату составит около 25 тыс. т в год.
Месяцем ранее «шаг в сторону» от металла сделал автогигант Daimler, который сообщил о создании в Германии СП с японским производителем углепластика – компанией Toray. Серийное производство автомобилей Mercedes с использованием этого карбона запланировано на 2012 г., сообщили Daimler и Toray. Причем германский BMW уже использует капоты из углепластика в ряде серийных моделей.
Новости об «экономии металлов» приходят со всех сторон и из всех сфер применения. В Испании к этому лету компания Acciona за 2 часа установила новейший пластиковый мост (длина – 44 м, ширина – 3,5 м), созданный с применением 12 т углеродного волокна, и делает сейчас второй аналогичный мост.
В России потоком идут сообщения о вытеснении стальных труб из ЖКХ.
К примеру, МП «Находка-Водоканал» 15 июня также сообщило, что произведет реконструкцию 2 км водопроводных сетей с заменой труб на «долговечные пластиковые».
Таким образом, процесс перехода с металла на пластик явно идет, тогда как обратных вариантов этой тенденции практически не встречается.
Первичные аргументы
Конкурентов металлам в качестве конструкционных материалов называется сравнительно много. Реально просматриваются только две заметные группы. Более 90% предложений относится к материалам и композициям на углеродной основе, среди остальных явное преимущество у силиконов (кремнийсодержащих материалов).
Отметим сразу, что углерод и кремний – явные «химические родственники», обладающие группой схожих свойств. А главное их преимущество в качестве основы конструкционных материалов – высокая прочность химической связи атомов при сравнительно небольшой массе.
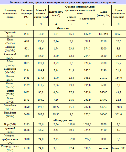
Далее мы приведем ряд фундаментальных свойств и простых оценок, позволяющих достаточно точно оценить и сравнить «потенциал» перспективных металлов, полуметаллов и соединений (табл. 1).
За предельную прочность была принята прочность межатомных связей, которая определяется температурой плавления. Отношение этой величины к массе атомов, образующих оцениваемую связь, дает понятие о теоретической прочности некоторой массы идеального вещества. Другие альтернативные оценки предельной прочности связей – исходя из твердости или по отношению к плотности – дают схожий результат сравнения.
Цена прочности, определенная как отношение стоимости материала (колонка 7) к его потенциальной прочности (колонка 6), также является чисто теоретическим показателем, однако пригодным для оценочного сравнения материалов.
Учет кристаллической структуры материалов влияет на приведенные сравнения не слишком существенно. Но там, где это принципиально, мы сразу это поясним.

Далее детально поговорим об особенностях перечисленных материалов и их аналогов, которые принципиально мешают многим «блестящим перспективам», как ни расписывай их в прессе.
Оценка потенциальной прочности материалов (в колонках 5 и 6) сразу выявляет лидеров.
Исключение – несколько заниженные показатели фактического рекордсмена – углерода в форме алмаза, поскольку тут прямая оценка прочности связи атомов по температуре плавления (сублимации) невозможна и лучше учесть показатель твердости.
Показанная цифра в таблице означает, что при приближении к 2000 оС алмаз стремительно переходит в другую стойкую модификацию углерода – графит. Причем для его слоеной анизотропной структуры, наоборот, оценка по твердости приведет к заниженным результатам. Фактически углеродная связь, отнесенная к массе, – потенциальный чемпион прочности, если материал удастся правильно сформировать по структуре (от линейной до трехмерной). Причем сделать это недорого, т.е. с экономичной и высокопроизводительной технологией.
Задача производства изделий из углерода абсолютно непохожа на металлургию, крайне непроста, поэтому о ее решениях мы поговорим ниже, в отдельном разделе этой статьи.
Следующим по прочности идет также полуметалл – недорогой и распространенный в природе (в виде соединений) бор. Рядом его известное соединение – кубический нитрид бора. Оба представляют собой чрезвычайно твердые, но очень хрупкие материалы. Последнее качество препятствует как технологиям производства каких-либо изделий из бора, так и их применению. Исключение – отличные и недорогие абразивные материалы на основе системы бор–углерод–кремний.
Здесь как раз полезно упомянуть о принципиальном отличии металлов (и сплавов) от неметаллов. Старинное определение (по М.В. Ломоносову) металлов как «тел твердых, ковких и блестящих» на две трети устарело. Осталась только уникальная ковкость, точнее, их сравнительно легкая механическая деформируемость.
Сейчас главной ответственной за специфические свойства металлов считается своеобразная «металлическая связь», которую можно детально объяснить только понятиями квантовой механики. Она базируется на способности атомов металлов легко отдавать электрон, что приводит к их высокой электропроводности. При этом атомы металлов образуют пространственную решетку, наполненную электронным газом, который практически не влияет на ее прочность. Это заметно отличает их от многих кристаллов (см. группу «Соединения» табл. 1), где прочная связь отрицательных и положительных ионов дает заметный вклад в жесткость и хрупкость материала. Скажем только, что в линейной форме минимально тонкой нити (вплоть до моноатомной) существенной разницы механических свойств металлов и неметаллов уже нет.
Отметим для металлов еще один важный общий момент: любые сплавы типа растворов по предельной теоретической прочности (в отличие от реальной прочности) не могут быть лучше исходных компонентов. Интерметаллические соединения могут быть несколько прочнее за счет появления новых (более жестких) структур.
Однако вернемся к таблице 1.
Среди металлов явным лидером по прочностным возможностям является сверхлегкий и редкий бериллий.
Однако высокая цена этого металла, как и высочайшая токсичность, крайне ограничивают его производство и применение. Он – в считаных супердеталях военных ракет (вплоть до МБР) и тому подобной технике, а также в легировании отличной бериллиевой бронзы. Других перспектив применения этого яда рекордной прочности не просматривается.
На втором месте среди металлов по теоретическим конструкционным возможностям – хорошо известный магний.
Но в реальной атмосфере и при нужных температурах о себе напоминает высокая химическая активность металла. Магниевая вспышка из стружки, применявшаяся фотографами около сотни лет назад, – яркий пример нестойкости этого металла. Защитная оксидная пленка на его поверхности непрочна (близка к извести), в отличие, например, от корунда на поверхности алюминия. Итог – весьма ограниченное применение Mg в «разбавленном» состоянии в ряде легких сплавов. Они, как и их перспективы, весьма неплохо изучены и в итоге оставляют крайне слабую надежду на расширение конструкционного применения магния.
Третье место среди металлов по потенциалу прочности имеет титан, причем это его свойство
(например, у деталей самолетов Boeing и Airbus) уже активно используется.
Однако здесь самое время обратить внимание на колонку 8 таблицы, где учтены фактические цены конструкционного материала.
От железа (стали) добиться аналогичной прочности окажется на порядок дешевле, чем из титана. В итоге за низкий вес прочного титана и его сплавов долгое время были готовы платить исключительно военные. Из гражданских на этот металл поглядывала аэрокосмическая отрасль, но по возможности предпочитала обходиться алюминиевыми сплавами. Нынешний рост интереса связан не в последнюю очередь с ростом стоимости авиалайнеров и пропорциональным падением доли материалов в себестоимости. Но и сейчас авиастроители готовы платить за титан только в тех узлах, где вес принципиален – корпусы пассажирских самолетов делать из него никто не собирается. Более того, идут активные поиски его замен из новых композитных материалов.
Отметим отдельно, что причина высоких цен титана не в дефиците сырья. Оно сравнительно недорого и применяется в производстве обмазки сварочных электродов и выпуске титановых белил. Одна из основных сложностей – технология его производства. Базовый процесс, созданный в 1940 г., сложен и дорог, причем до сих пор не претерпел существенных изменений. Его автор – Уильям Кролл – честно считал эту технологию неэффективной и временной. Однако до сих пор она работает на основных промышленных производствах мира, в частности на Тimet (США) и «ВСМПО-Ависме» (Россия). Технология титана ждет настоящих инноваторов, причем приз имеет цену в десятки миллиардов долларов.
В заключение отметим, что лидером по цене получения прочности среди металлов и сплавов было и остается железо (сталь). Именно это создает устойчивость и позитивную динамику черной металлургии во всем мире. Причем невзирая на то, что к теоретическим значениям прочности в массовой стальной продукции не удается даже приблизиться.
Почему – несколько слов в следующем разделе.
Недостижимые идеалы
Идеал – монокристалл конструкционного материала, причем размером как раз в нужную деталь – практически недостижим. Для этого, к примеру, в гвозде надо упорядочить около 10 в 24й степени атомов железа, что никак нельзя проконтролировать.
Такой гвоздь станет сверхпрочным на разрыв, но более гибким. Причем будет гнуться в разные стороны по-разному (анизотропия). Еще – станет гладким и перестанет ржаветь, т.е. заметно потеряет сцепление с деревом. Цена подобной супертехнологии (по выпуску в размер) на многие порядки обгонит стоимость получения искусственных алмазов, даже если будет в какой-то степени достижима.
Кстати, монокристаллы алмазов, природных или синтетических, также весьма неидеальны. Фактически степень отклонений их структуры достигает нескольких процентов от общего количества атомов. Но на знаменитой твердости эти отклонения отражаются слабо, а оптические дефекты бриллиантов легко контролируются все сразу – на просвет, т.е. даже на глаз.
Очевидно, что все конструкционные материалы выпускаются и будут выпускаться в форме некоторого среднестатистического отклонения от идеала. Желательно – с предсказуемыми отклонениями, причем именно в нужную сторону.
Сталь, например, – в виде некоторого набора монокристаллов железа неправильной формы, с дефектами структуры (дислокациями разных типов), с примесями и лигатурами (включая углерод), растворенными в этих кристаллах, но более всего – сосредоточенными на границах зерен. И, естественно, с прочностью, крайне далекой от максимума.
При теоретической прочности железа, оцениваемой в 13–14 тыс. МПа (около 1340 кГ/мм2), лучшие лабораторные микрообразцы показывают 90–95% этой величины. Однако в массовом производстве реальная прочность железа и сталей составляет не более 10% от теоретической (рис. 1).
Наиболее очищенное железо в промышленном производстве – технически чистое АРМКО (менее 0,16% примесей) – имеет предел прочности 260 МПа (предел текучести 120 МПа, относительное удлинение 30%). Это весьма пластичный (ковкий, прокатываемый) материал, но имеющий прочность на растяжение около 2% от теоретически возможной.
Много прочнее чистого железа практически все стали (сплавы с углеродом). Самые массовые – рядовые малоуглеродистые стали – прочнее АРМКО сразу вдвое (400–500 МПа), но уже с заметным снижением пластичности, с худшей коррозионной стойкостью и т.д.
Поэтому компромисс (под требования заказчика), который помимо состава и технологий включает в себя цену, породил огромный набор сплавов, проката и метизов (сотни тысяч наименований). Все они очень далеки от идеала, но уверенно находят своих покупателей. Гонка за рекордами в металлургии (и в металловедении) идет сейчас медленнее, чем полвека назад, но все же неуклонно продолжается.
Сверхпрочные высоколегированные стали сложного состава, выпускаемые серийно, по прочности приближаются к 1000 МПа. Для них помимо цены быстро нарастают вопросы хрупкости (прокатки, обрабатываемости, свариваемости, прочности на изгиб/сдвиг и т.п.).
Компромисс всего комплекса нужных свойств достигается весьма трудно. Помимо особого состава, как правило, приходится прибегать к специальной термообработке, изменяющей конечную структуру и свойства сталей. А порой – дополнительно обрабатывать детали «в размер», хотя для массового производства желательны более экономичные технологии.
К примеру, совместная разработка новой автомобильной стали TP-N 68/78 выполнена (и запатентована) совместно компаниями с разных концов света – германской ThyssenKrupp и японской JFE Steel.
Эта сталь имеет очень высокий предел прочности (не менее 780 МПа), однако авторы отмечают прежде всего улучшенные показатели в процессах штамповки (и прочей обработки). Новая сталь имеет относительное удлинение на 40% больше, чем у других сверхпрочных сталей, и речь идет о массовом производстве ее в качестве горячекатаного листа.
Сообщается, что комплекс свойств достигнут при повышении точности режимов прокатки. Но главное – «благодаря новой концепции образования сплавов, в соответствии с которой максимальная прочность достигается уже на этапе штамповки, когда аустенит превращается в прочный мартенсит».
Раньше мы любили сравнивать прочную сталь с «железобетоном наоборот», когда пластичная основа (феррит) упрочняется «сеткой» более твердых структур (мартенсит, цементит, границы зерен) в процессе остывания металла.
Однако сейчас технология пытается сформировать нужную структуру, т.е. фактически – нужный композит – непосредственно на этапе конечного производства изделия.
Именно создание нужного композита, а не гонка за идеалом, роднит тенденцию развития металлургии практически со всеми другими современными технологиями производства конструкционных материалов (от стройматериалов до углепластиков).
Однако об этом, в частности о тенденциях «конкурентов» металлам, мы расскажем во второй части этой статьи.
|